پتروشیمی فن‌آوران با افزایش سرمایه به دنبال تقویت ساختار مالی و توسعه عملیاتی

نکات کلیدی خبر

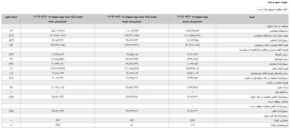
  • درآمد عملیاتی پتروشیمی فن‌آوران در ۹ ماهه امسال بیش از ۲۳ درصد نسبت به دوره مشابه سال قبل رشد داشته است.
  • افزایش نرخ گاز طبیعی و هزینه‌های تعمیرات اساسی، بهای تمام‌شده درآمدهای عملیاتی را حدود ۷۱ درصد افزایش داده است.
  • هیأت مدیره شرکت پیشنهاد افزایش سرمایه را برای تأمین منابع پروژه‌های توسعه‌ای و تقویت ساختار مالی ارائه کرده است.
  • گزارش یک‌ماهه دی‌ماه نشان‌دهنده حفظ روند فروش و جریان نقدی شرکت است.

**عملکرد مالی تحت تأثیر فشار هزینه‌ها**

بررسی صورت‌های مالی ۹ ماهه منتهی به ۳۰ آذر ۱۴۰۴ پتروشیمی فن‌آوران حاکی از رشد درآمدهای عملیاتی در کنار افزایش قابل توجه هزینه‌های تولید است. درآمد عملیاتی شرکت در این دوره بیش از ۲۳ درصد نسبت به مدت مشابه سال قبل افزایش یافته که نشان‌دهنده حفظ و توسعه بازارهای فروش داخلی و صادراتی است. با این حال، بهای تمام‌شده درآمدهای عملیاتی حدود ۷۱ درصد رشد داشته که مهم‌ترین دلایل آن افزایش نرخ گاز طبیعی، ثبت هزینه‌های توزیع و انتقال گاز، هزینه تعمیرات اساسی و توقف‌های تولید در مقاطعی از سال عنوان شده است.

کاهش سایر درآمدهای عملیاتی نسبت به سال گذشته نیز بر سود عملیاتی اثر گذاشته است.

**ثبات فروش و برنامه افزایش سرمایه**

گزارش عملکرد یک‌ماهه منتهی به ۳۰ دی ۱۴۰۴ نشان می‌دهد این شرکت توانسته است روند فروش محصولات خود به ویژه متانول را حفظ کند. این ثبات ماهانه بیانگر مدیریت تولید و حفظ بازارهای صادراتی شرکت ارزیابی می‌شود. در کنار این موضوع، هیأت مدیره پتروشیمی فن‌آوران گزارش توجیهی افزایش سرمایه را برای تصویب به مجمع عمومی فوق‌العاده ارسال کرده است. هدف از این افزایش سرمایه، تقویت ساختار مالی، تأمین منابع لازم برای پروژه‌های توسعه‌ای و کاهش فشار مالی ناشی از اجرای طرح‌های جدید اعلام شده است.

**چشم‌انداز و مسیر پیش‌رو**

ترکیب عملکرد مالی و برنامه‌ریزی‌های آتی نشان می‌دهد پتروشیمی فن‌آوران در حال عبور از دوره‌ای پرفشار از نظر هزینه‌های تولید است. نقاط قوت شرکت شامل رشد درآمد فروش، حفظ بازار صادراتی و تلاش برای تقویت ساختار سرمایه از طریق افزایش سرمایه است. در صورت تحقق شرایط پایدارتر تأمین انرژی و موفقیت در اجرای پروژه‌های توسعه‌ای، امکان بهبود حاشیه سود و تثبیت سودآوری در دوره‌های آینده وجود دارد.

پتروشیمی "فن‌آوران" به دنبال جهش عملیاتی با تکیه بر افزایش سرمایه

اخبار اقتصادی

دیدگاهتان را بنویسید

نشانی ایمیل شما منتشر نخواهد شد. بخش‌های موردنیاز علامت‌گذاری شده‌اند *

دکمه بازگشت به بالا